
和大多数人想象的不同,摩擦力的机理至今为止没有一个足够好的理论来解释,虽然存在大量的不同摩擦理论,但是都存在不同程度的问题。不过这不影响工业界使用一些近似的理论进行工程上的开发,但是在科学上,就我目前所了解到的情况来看,这应该还是一个待解决的问题。
对于宏观的,具有屈服强度的非粘性材料(通常就是金属),在界面上没有介质影响的情况下的摩擦(干摩擦)在实验上大致的有这么几条规律,其中有三条是我们在高中学过的:
静摩擦系数大于动摩擦系数
摩擦系数与接触面积无关
摩擦力大小与滑动速度无关
还有我们没见过的三条:
静止接触时间越长,静摩擦系数越大
滑动摩擦不是连续发生而且存在跃动
静摩擦存在一个预位移(发生静摩擦时会产生一个微小的位移)
这其中,第三条我们在日常生活中是无法观察到的,第一条很少能直观的观察到(因为生活中很少有满足要求的金属物品),而第二条则很常见:用一支粉笔,把底面磨平,在一个光滑表面直立摩擦,就能听见响亮的啸叫,这就和跃动有关;又比如汽车刹车的时候,也能听见来自摩擦跃动的啸叫。
前面也提到了,为了解释摩擦现象,存在着大量的摩擦理论,我们这里只简要介绍同以上六条实验规律相关的几种常见的摩擦理论。
首先是机械啮合理论,这也是一般高中老师会提到的理论,这种理论认为是材料表面的粗糙不平导致了摩擦的存在,具体的说,是由于材料表面凸起与凹陷的耦合,碰撞,以及经常提到的犁沟效应,即材料表面的凸起引起对面表面的凹陷,产生力的作用。
这是最好理解的理论了。然而这个理论的问题当然也是非常多的,最致命的打击是,根据这个理论,越光滑的表面摩擦系数小,然而两个极度光滑的金属表面反而会使摩擦力增加,同样的,这个理论很难解释预位移、跃动、还有静摩擦系数随时间增加等问题。
在对分子间作用力有一定了解之后,人们提出了分子作用理论,该理论的基本想法是固体间接触的部分存在分子间作用力,当表面滑动的时候,分子直接接触分离,前后的势能差导致了摩擦力的存在。
分析模型可以知道,该摩擦力大小与分子分离数成正比,与分离能成正比,从而与接触面积成正比。因为分子分离能对位置高度敏感,可猜测摩擦力与压力基本无关。
根据该模型的预测,摩擦力与接触面积成正比,与粗糙程度成负相关,与压力基本无关。很显然这个模型和上面的六个实验现象并不符合。
1945年提出的粘着摩擦模型结合了上面两种理论(这个时候相对论和量子力学都建立很久了),要点如下:
接触面表面处于屈服状态
也就是说,由于表面粗糙,接触面很小,接触压强很大,那么直接假设接触点屈服是合理的,此时接触点压强就等于屈服压强,可知接触面积与压力成正比。
这里就解决了分子作用模型对摩擦力与摩擦面积和压力预言与实验结果的矛盾问题了。
滑动摩擦中存在粘着和滑动的交替作用
动摩擦过程中由于接触点放热等原因,会发生接触点粘着(可以理解成焊接在一起),随后又会因为摩擦力使得接触点剪切形变,开始滑动,从而形成动摩擦的跃动现象。
摩擦力由包括粘着与犁沟效应在内的多种效应叠加形成的
即使假设了接触位置屈服,犁沟效应仍然是存在的,并且与两个接触面的强度有关。实际上,通过这个模型,可以推导出两个强度不同的金属之间的摩擦因数,如果忽略犁沟效应,可以直接推导出摩擦系数等于剪切屈服压强/受压屈服压强。
这个模型依然有问题,这样推导出的摩擦系数与实验结果符合的并不够好。接下来的修正是对接触部分的状态做修正,接触的位置并不都平行于摩擦力的,如果有倾斜(如机械耦合理论描述的一样)那么上面的计算就不正确,修正之后结果与实验吻合的更好一些。修正后的模型称为修正粘着模型。
对于以上所以简化条件适用的情况下,同时考虑机械作用和分子粘着的修正粘着模型,基本可以解释在这种情况下摩擦力产生的原因。更多的模型需要一本很厚的专著才能介绍完,并且正如我最开始提到的,这个问题,某种程度上仍然是一个未解之谜。这真的是一件非常有趣的事情,人类的科技发展的如此迅速,然而到今天我们没有这种随处可见的力的一个良好模型。
对啸叫的解释
在一些情况下(比如之前解释的金属摩擦),摩擦系数并不是同速度无关,而是关于速度的函数,并且是关于速度递减的。为了分析这个问题,我们使用如下图的模型。
一个点匀速运动,通过一个带阻尼的弹簧拉动一个水平面上的物块,物块与水平面间产生摩擦。首先我们来不严谨的定性的分析的一下这个模型:
显然这个模型中,存在一个平衡点,即物块运动速度为v1时,同时物块受力为零。关键在于这个点是不是稳定平衡的。假设弹簧的长度比平衡位置短了一点,那么物块的摩擦力就大于了拉力,物体开始减速,同时由于u(v)是减的,所以对应u会变大,从而摩擦力变的更大;反之,如果弹簧长了一点,那么物体速度开始加快,摩擦力开始减小。这两种效应都使得物体在从偏离平衡位置的点回复时,能够获得能量,使这种偏离加大。如果这个效应足够强,这么一个模型中的物体完全可能会发生自激振荡。
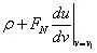
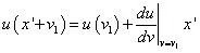
严格的说明还是需要计算。为了简化形式,在与地面相对速度为v1的参考系里处理,有运动方程:
再对u(x'+v1)泰拉展开,只取一阶导数项有
通过平移参考系可以把其中的常数项u(v1)消去,所以最终得到一个常系数齐次二阶常微分方程:
熟悉该方程的人很容易就会发现,当
该方程的解是一个递增的指数函数乘以一个正弦函数,也就是说是一个振幅增加的振动。或者你不熟悉这个方程,也没有关系,你可以看出
其对应弹簧振子的阻尼项,如果这一项是负的,那么这个体系就从一个耗散结构变成了有能量输入的结构。
也就是说,一个具有弹性的结构发生摩擦时,如果摩擦力随速度增大而减小,那么摩擦力就能把能量供应到这个结构的震荡中,满足合适的条件的时候,这个体系就能发生自激振荡,如果这个振荡频率刚好在可听域里,就可能听见啸叫。
